BB弾の弾道学
より遠くまでBB弾を飛ばす仕組みであるホップアップ機構。
1987年以降、モリオカの0.4Jシステム、KM企画のSCS、シェリフのLRBといった初期のホップアップ・カスタムパーツを経て、1993年発売の東京マルイ FA-MAS SVに可変ホップアップが標準搭載されると、低威力でも安定してBB弾を真っ直ぐ遠くへ飛ばすことができるようになった。
本稿では、BB弾の弾道特性について解説する。
ホップアップの原理
なぜBB弾の飛距離が伸びるのか?
BB弾に上向きの回転、いわゆるバックスピンが掛かると、マグヌス効果によってBB弾の進行方向に対する垂直の力(揚力)が発生する。そのため重力に相反して飛距離が伸びるという原理だ。


東京マルイのスタンダード電動ガンの可変ホップアップチャンバー構造。BB弾が発射される際にインナーバレル上から押し出されたゴムパッキンの突起に弾が触れ、その摩擦によりバックスピンが掛かる仕組み。ホップアームと押しゴムパーツにより、より細かく滑らかにホップ回転の調節ができるようになった。
BB弾の弾道を求める方程式
今回、BB弾の弾道は以下の2つの方程式によって導き出す。

BB弾に働く力は、重力、空気抵抗、マグヌス力、そしてホップ回転の減衰を考慮する。
BB弾直径は5.95mm、気温20度、湿度60%、1気圧、無風で計算を進める。また、ホップ強弱時の抜弾抵抗による初速変化、地球の自転によるコリオリ力は考慮しない。
以下は縦軸に高さ、横軸に距離としたときの弾道グラフだ。
弾は0.2g、威力は0.9J(初速は約95m/s)で、1mの高さから水平に撃ち、40mでゼロインするホップアップ設定にしている。このときの銃口ホップ回転数は約208回転/秒、40mまでの着弾時間は0.878秒、射線からの最大浮き上がり値は約25.3cmとなる。

縦軸、横軸を同スケールにした弾道グラフではほぼ直線に見え、わかりにくいので、以下よりグラフは高さ:距離比を1:10にて掲載する。
ホップアップ弾道とは?
0.16g、0.20g、0.25g、0.28g弾の、40mから20mまで5m刻みで各距離にゼロインをした場合の弾道グラフを示す。またホップ回転0と、射線より浮き上がらないギリギリのホップ回転弾道(boundary)も加えた。
■0.16g / 0.9J / 銃口初速:106.06m/s

40mゼロイン弾道の銃口ホップ回転数は188回転/秒、最大浮き上がり値は36.8cm、40m着弾までの時間は0.965秒、40m着弾時の弾速は20.45m/sとなる。
■0.2g / 0.9J / 銃口初速:94.87m/s

40mゼロインの銃口ホップ回転数は208回転/秒、最大浮き上がり値は25.3cm、40m着弾までの時間は0.878秒、40m着弾時の弾速は25.41m/sとなる。
■0.25g / 0.9J / 銃口初速:84.85m/s

0.25gでは弾道の浮き上がりが0.2gより少なく、40mゼロイン時の最大浮き上がり値は19.1cmとより低伸するようになり、最大飛距離も伸びる。40m着弾までの時間は0.838秒、着弾時弾速は29.6m/s。
■0.28g / 0.9J / 銃口初速:80.17m/s

さらに0.28g弾になると弾道は低伸、40mゼロイン時の最大浮き上がり値は16.9cm、40m着弾までの時間は0.838秒、着弾時弾速は31.3m/s。なお、落下地点は55mとなる。
これら弾道計算とグラフからわかることとしては、
1.重い弾ほど、低伸する。
2.重い弾ほど、最大射程が長い。
3.重い弾ほど、強いホップ回転が必要。
このグラフでは水平射撃を基準としており、その場合、高さ1mからの水平射撃で40mゼロインの場合、理論上55m以下が最大到達距離となる。もっとホップ回転を強くするか、仰角で撃てば最大射程を伸ばすことができるが、これについては後述する。
弾の重量と威力による弾道の違い
次に弾の重さと、威力による弾道の変化をグラフにした。

上図は0.1Jの10歳以上対象用、固定ホップのエアガンという想定で、0.12g~0.28gまでの5種の重量のBB弾を撃ったときの弾道。
0.12g弾で20mゼロインされるようホップ回転を設定し、このときのホップ回転数を他の重量弾にも適用した。0.12gでの浮き上がりは25cm程度、それ以上の重量では浮き上がりはほぼないが飛距離が短くなる。

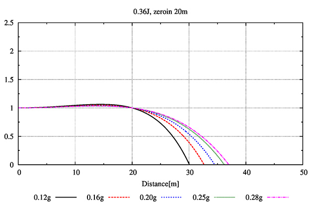
次に0.36J(0.2gで初速60m/s)での各重量の弾道。ホップアップは全て20mゼロインで調整している。
威力が低めのハンドガンなどで想定される初速。一見してどの弾道も大きな差はないように見えるが、重量弾で必要なホップアップ回転が出せるか、その対応幅が問題となる。

0.49J(0.2gで初速70m/s)での各重量の弾道。ホップアップは全て30mゼロインで調整している。
ガスブローバックハンドガン、電動ハンドガン、電動コンパクトSMGなどで想定される初速。

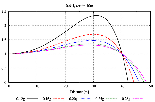
0.64J(0.2gで初速80m/s)での各重量の弾道。ホップアップは全て40mゼロインで調整している。
0.64Jの威力で0.12g弾を40m先を狙って撃つのは相当無理があることがわかる。
使用するエアソフトガンの威力に応じた適切な重量のBB弾を使用することが良いだろう。
距離ごとに弾速はどのように減衰するのか?
弾の重さ別の到達ゼロイン距離までの着弾時間、着弾時の弾の速度、初期ホップ回転、最大浮き上がり値を表にした。
| ゼロイン距離 | 5m | 10m | 15m | 20m | 25m | 30m | 35m | 40m |
| 初期ホップ回転数[r/s] | 80.5 | 88.3 | 97.8 | 109.2 | 123.2 | 140.4 | 161.6 | 188.0 |
| 着弾時間[s] | 0.052 | 0.117 | 0.197 | 0.294 | 0.414 | 0.562 | 0.743 | 0.965 |
| 最大浮き上がり値[cm] | 0.0 | 0.2 | 0.6 | 1.9 | 4.5 | 9.7 | 19.4 | 36.8 |
| 着弾速度[m/s] | 86.0 | 69.9 | 56.8 | 46.3 | 37.7 | 30.7 | 25.0 | 20.5 |
■0.2g弾 / 銃口初速:94.87m/s (0.9J)
| ゼロイン距離 | 5m | 10m | 15m | 20m | 25m | 30m | 35m | 40m |
| 初期ホップ回転数[r/s] | 110.6 | 118.9 | 128.5 | 139.7 | 152.9 | 168.3 | 186.5 | 208.0 |
| 着弾時間[s] | 0.057 | 0.125 | 0.205 | 0.299 | 0.411 | 0.542 | 0.696 | 0.878 |
| 最大浮き上がり値[cm] | 0.0 | 0.1 | 0.6 | 1.6 | 3.6 | 7.5 | 14.1 | 25.3 |
| 着弾速度[m/s] | 80.3 | 68.0 | 57.6 | 48.9 | 41.5 | 35.2 | 29.9 | 25.4 |
■0.25g弾 / 銃口初速:84.85m/s (0.9J)
| ゼロイン距離 | 5m | 10m | 15m | 20m | 25m | 30m | 35m | 40m |
| 初期ホップ回転数[r/s] | 152.5 | 161.4 | 171.4 | 182.7 | 195.5 | 210.1 | 226.6 | 245.5 |
| 着弾時間[s] | 0.063 | 0.135 | 0.217 | 0.311 | 0.418 | 0.540 | 0.679 | 0.838 |
| 最大浮き上がり値[cm] | 0.0 | 0.1 | 0.5 | 1.4 | 3.1 | 6.1 | 11.1 | 19.1 |
| 着弾速度[m/s] | 74.3 | 65.1 | 57.0 | 50.0 | 43.8 | 38.4 | 33.7 | 29.6 |
■0.28g弾 / 銃口初速:80.18m/s (0.9J)
| ゼロイン距離 | 5m | 10m | 15m | 20m | 25m | 30m | 35m | 40m |
| 初期ホップ回転数[r/s] | 179.7 | 189.0 | 199.2 | 210.7 | 223.5 | 237.8 | 253.9 | 272.0 |
| 着弾時間[s] | 0.066 | 0.141 | 0.225 | 0.319 | 0.425 | 0.545 | 0.679 | 0.830 |
| 最大浮き上がり値[cm] | 0.0 | 0.1 | 0.5 | 1.3 | 2.9 | 5.6 | 10.0 | 16.9 |
| 着弾速度[m/s] | 71.2 | 63.3 | 56.2 | 50.0 | 44.5 | 39.5 | 35.2 | 31.3 |

同じ威力では軽い弾ほど初速が上がり、近距離では早く着弾する。
例えば、0.9Jの同一条件で、距離10mでは0.2g弾は0.25g弾より0.01秒早く着弾する。これは距離にすると0.2g弾が着弾したとき、0.25g弾は約65cm手前を飛んでいるということになる。接近戦の多発するCQBやインドアフィールドではより軽量弾のほうが着弾速度では有利となる。ただし、このときの着弾エネルギーは0.2gが0.462J、0.25gが0.53Jとなり、より0.25gのほうが着弾を意識させやすいとも言える。

ところが威力減衰により、ある一定の距離で軽い弾は重い弾に追い抜かれる。例えば0.9Jにおいて0.2gと0.25gで比較すると、25mまでは0.2g弾のほうが早く着弾するが、30m付近で0.25g弾が0.2g弾を追い越し、それ以上の距離では0.25g弾が早く着弾する。
そして距離40mでは0.25g弾が0.2g弾より0.04秒早く着弾し、着弾時の距離差は約1mとなる。また着弾時エネルギーは0.25g弾のほうがすべての距離において高い。
つまり、遠距離ではより重い弾が有利となる。
仰角、俯角で発射した場合の弾道に対する影響度は?
仰角、俯角で発射した場合の弾道はどう変わるかを算出した。


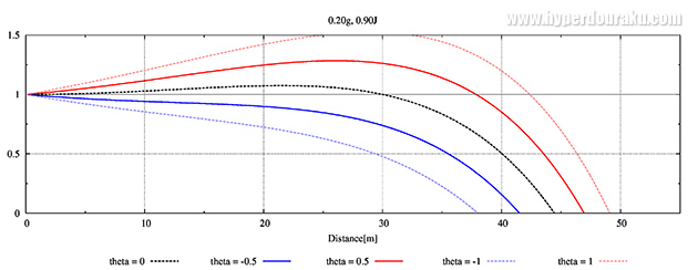
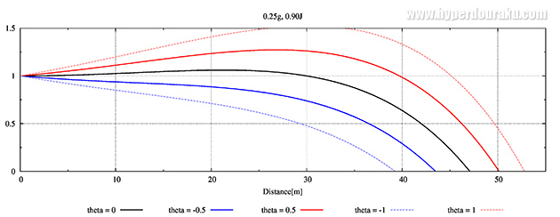
0.2g、0.25g弾において、水平弾道で30mゼロインのホップ回転を基準弾道とし、仰角、俯角それぞれ0.5度、1度にて射撃した際の弾道グラフ。基本的に0.5度のズレが発生した場合30m先では26cmの着弾差、1度では52cmの着弾差となる。

続いて、各重量弾の最大飛距離を算出してみた。
条件は、40mでホップゼロインした0.9Jのエアソフトガンで、0.2g、0.25g、0.28g弾それぞれに最適な仰角を付けて1mの高さから撃ち出した場合の着弾地点までの距離を示す。
| 重量 | 撃ち出し角度 | 最大飛距離 |
| 0.20g | 21.6° | 72.8m |
| 0.25g | 22.6° | 82.3m |
| 0.28g | 23.0° | 87.3m |
わずかだが重い弾ほどより仰角を付けて撃ち出すほうが飛距離がでることがわかる。0.25g弾では22.6度で撃ち上げたBB弾は上空20mを超えて放物線を描き、最大飛距離は82.3mとなった。これはもちろん風の影響は考慮していない。

本稿監修者のシキノ氏が提唱する「上下方向の振れ幅が最小になる軌道」のグラフも示す。0.2g、0.25g、0.28gにおいて、任意のホップゼロイン(今回は40m)を行い、撃ち出し角度をやや俯角にしている。
| 重量 | ホップ回転数 | 俯角 |
| 0.20g | 265回転/秒 | 1.03° |
| 0.25g | 299回転/秒 | 0.80° |
| 0.28g | 325回転/秒 | 0.72 |
この場合、銃身が俯角を取っているので、40mのターゲットに対してサイトインをする必要がある。
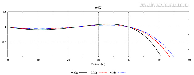
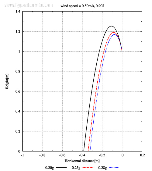
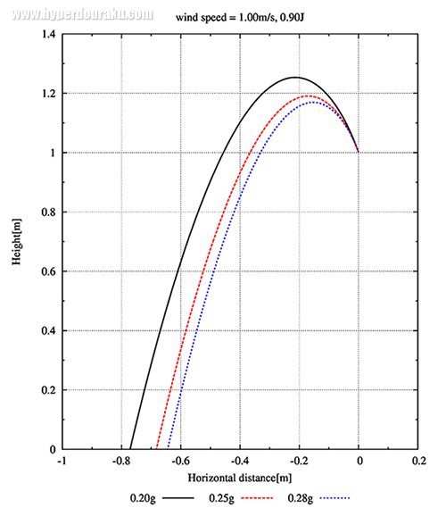
横風に対する影響はどれくらいあるか?
0.2g弾と0.25g弾で横風に対する着弾誤差がどの程度発生するかを算出した。
下のグラフは右から左へ風が吹いている時、高さ1mから射撃した際の風の影響を示している。

風速0.5mの場合。

風速1mの場合。
各風速、弾の重量で、40m先の高さ1mのターゲットに対する着弾ずれ幅を表にした。
| 弾の重量 | 風速 0.5m | 風速 1m |
| 0.20g | 22.8cm | 45.6cm |
| 0.25g | 18.3cm | 36.6cm |
| 0.28g | 16.5cm | 33.1cm |
より重い弾ほど横風による影響は少ないが、風速1mで0.2g弾と0.25g弾の着弾差は9cmと意外にもその差は小さい結果となった。
適正なホップアップ弾道とは
以下は屋外サバゲーのホップ調整をどの距離で行うかのフォロアーアンケートの結果だ。
屋外サバゲーのとき、シューティングレンジでホップアップ調整する際にはどの距離の的で行いますか?
— ハイパー道楽@20周年! (@hyperdouraku) October 30, 2019
アンケートでは30mでホップ調整する人が54%で最多という結果となった。
可変ホップアップの適正弾道はどの距離にホップゼロインするかによって変わる。
30mでゼロインした場合、40mのターゲットを狙うには1度弱仰角を付けて撃つ必要がある。反対に40mゼロインした場合、30mでは弾が登っていくような弾道で的に当たる。
またホップ調整の際、銃口とゼロインするターゲットの高さを同一にしないと正しく調整できない。仮に銃口位置より高いターゲットにゼロイン調整すると、本来の距離では弱めのホップ調整となる。
ホップゼロインを行った後、そのターゲットにサイトインすると狙った場所に正しく弾が飛んでいく。
まとめ
・BB弾はターゲットまでの距離にかかわらず、重い弾のほうが着弾時に保持しているエネルギー値が高い。したがって、サバゲーにおいてはブッシュの貫通力が高く、敵にヒットを意識させやすい。
・着弾時間は軽い弾のほうが近距離では早く、ある一定の距離で重い弾が軽い弾を追い越していく。
・重い弾のほうが僅かだが遠くまで飛ぶ。
・重い弾のほうが横風に強い。
このことから遠距離戦の発生しやすい屋外フィールドでは0.25gや0.28gなどのより重い弾を、CQBやインドアフィールドなどでは0.2gや0.16gなどの比較的軽い弾を使うなど、主たる交戦距離に応じて使い分けをするのが良いだろう。
また、一般的に重量の軽い弾は重い弾に比べて給弾負荷が少なく、ハイサイクル電動ガンでの使用に向いていたり、0.2gのほうが1発当たりの単価が安いといったメリットもあるので、一概に重量弾だけにメリットがあるというわけでもない。
さらに使用するエアソフトガンのパワーに適した重量を使用するのがベター。10禁エアガンであれば0.12g~0.16g、ハンドガンなどは0.16g~0.2g、長物ならば0.2g~0.28gといった具合だ。もちろん使用条件はそのフィールドのレギュレーションに適合している必要がある。
監修:シキノ (シキノート:http://slpr.sakura.ne.jp/qp/)
弾道計算:https://slpr.sakura.ne.jp/sikinote/supplement/ballistics-webtool/index.html
■関連リンク





